
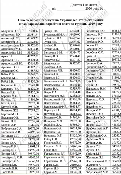
Украинские парламентарии за декабрь получили высокие заработные платы, и их размер стал известен широкой общественности. В частности, размер зарплат глав фракций Верховной Рады достиг уровня 42 тысячи гривен, а саму высокую зарплату получил нардеп Григорий Мамка – 51 433 гривны.
Стало известно, что глава фракции Слуга народа Давид Арахамия за декабрь получил 38 420,96 грн, при этом зарплата его первого заместителя Александрв Корниенко составила 39 572 грн.
Сопредседатели фракции Оппозиционная платформа - За життя Вадим Рабинович и Юрий Бойко получили 32 034,48 гривны и 32 931,42 гривны соответственно.
Зарплата Юлии Тимошенко, главы фракции ВО Батькивщина, составила 39 237,39 гривны.
Артур Герасимов и Ирина Геращенко - сопредседатели фракции Европейская солидарность - в декабре получили 38 419,96 гривны и 42 262 гривны соответственно.
Председатель фракции Голос Сергей Рахманин получил 40 342 гривны.
Отметим, больше всех среди народных депутатов за декабрь получил депутат от Оппозиционной платформы Григорий Мамка - 51 433,36 гривны. К слову, зарплата Петра Порошенко составила 34 395, 05 гривны, а скандальный Илья Кива – 36 590, 48 гривны.
Также добавим, что депутатам начислили по 76 840 гривен на выполнение депутатских полномочий за декабрь и ноябрь, сообщают Українські новини.
Читайте также"Подарю новый калькулятор": Тимошенко и Смелянский повздорили из-за миллионных зарплатНапомним, ранее сообщалось, заявление министра образования и науки Анны Новосад о том, что ее зарплаты в 36 тысяч гривен недостаточно, чтобы в будущем содержать семью и ребенка, вызвало шквал возмущения в соцсетях.
"Сейчас моя зарплата на руки в среднем составляет 36 тыс. грн, это на 10 тыс. грн меньше, чем я получала на должности руководителя директората Минобразования. Мне этого хватает, чтобы нормально прожить. У меня есть собственное жилье, служебный автомобиль, у меня нет времени ходить в кино. Но если вы меня спросите, устраивает ли меня это, как молодого человека, который должен думать о своем будущем, о сбережениях, о пенсии, то определенно этого не хватит..." – сказала Новосад.
Наши стандарты: Редакционная политика сайта Главред




